1. Trang Chủ
  2. //
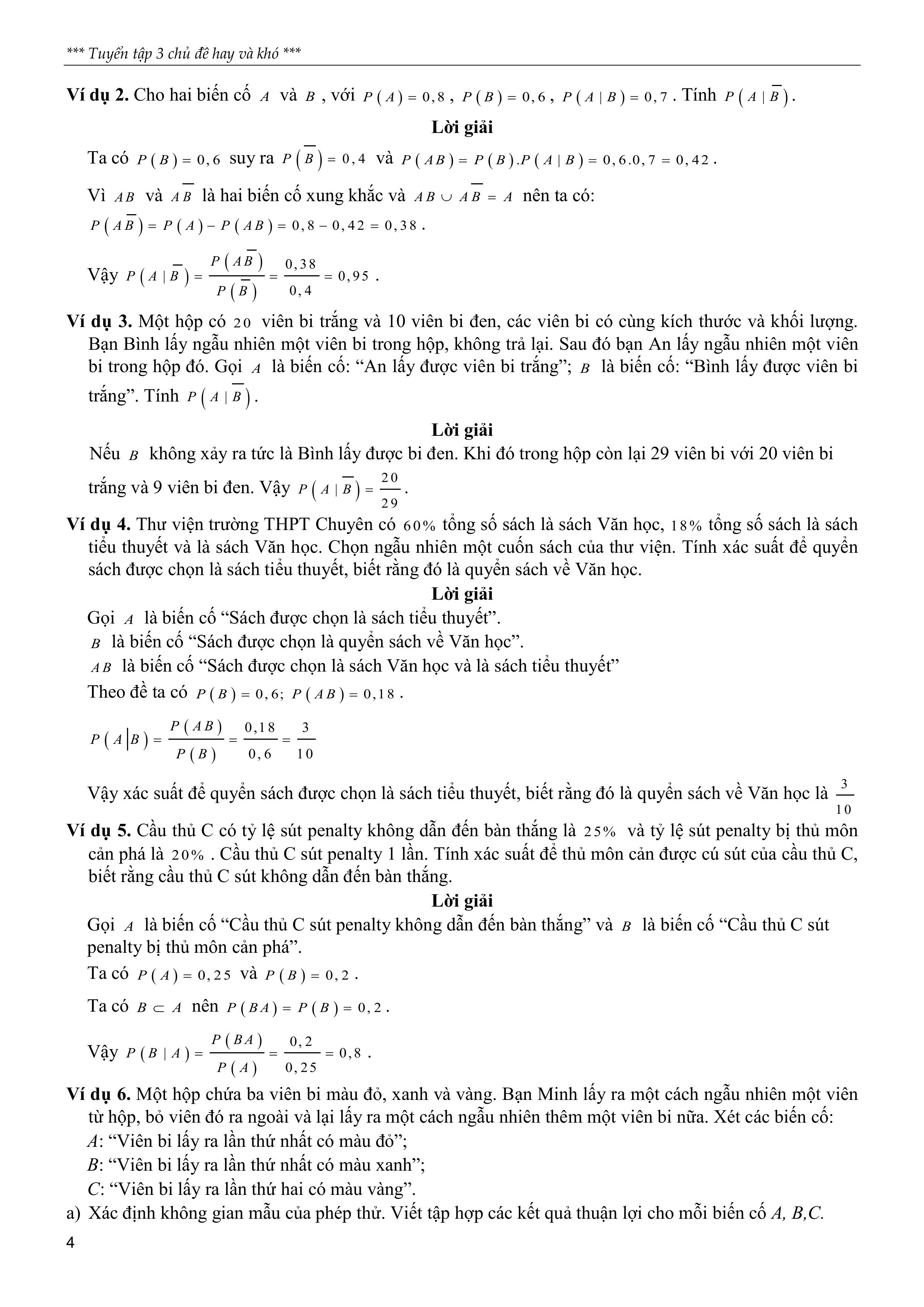
Tuyển Tập 3 Chủ Đề Hay Và Khó Xác Suất Có Điều Kiện Một Số Yếu Tố Của Lý Thuyết Đồ Thị
Tuyển Tập 3 Chủ Đề Hay Và Khó Xác Suất Có Điều Kiện Một Số Yếu Tố Của Lý Thuyết Đồ Thị
Tuyển Tập 3 Chủ Đề Hay Và Khó Xác Suất Có Điều Kiện Một Số Yếu Tố Của Lý Thuyết Đồ Thị
+ 8
Tuyển Tập 3 Chủ Đề Hay Và Khó Xác Suất Có Điều Kiện Một Số Yếu Tố Của Lý Thuyết Đồ Thị

Giới Thiệu Sách

Giới thiệu sách


Tuyển Tập 3 Chủ Đề Hay Và Khó Xác Suất Có Điều Kiện Một Số Yếu Tố Của Lý Thuyết Đồ Thị là một cuốn sách thuộc thể loại [tất cả Thể Loại] của tác giả nổi tiếng [Tác Giả]. Xuất bản năm [Năm Xuất Bản], cuốn sách đã nhanh chóng nhận được nhiều đánh giá tích cực nhờ nội dung sâu sắc và văn phong cuốn hút.

Thông Tin Chi Tiết
Tên Nhà Cung CấpCty Văn Hóa Khang Việt
Tác giảVũ Văn ThiệnNguyễn Quang HợpLương Văn Huy
NXBDân Trí
Năm XB2025
Ngôn NgữTiếng Việt
Trọng lượng (gr)
Kích Thước Bao Bì29.7 x 21 x 1.4 cm
Số trang280

Tóm tắt sách


Câu chuyện bắt đầu với hấp dẫn, dẫn dắt vấn đề một cách thú vị và thu hút. Từ đó, tác giả đưa người đọc qua một chuỗi sự kiện đầy Kịch Tính/Hài Hước/Trí Tuệ. Cuốn sách khám phá về chủ đề Sách Trong Nước, Giáo khoa - Tham khảo, Sách Tham Khảo, Tham Khảo Lớp 12

Phân tích, đánh giá & Review sách


Tác giả Vũ Văn Thiện, Nguyễn Quang Hợp, Lương Văn Huy đã thành công trong việc xây dựng một cốt truyện cực kỳ thu hút với kinh nghiệm của bản thân mình. Nhân vật cũng như cách diễn đạt nội dung là một điểm nhấn, với sự phát triển đầy chiều sâu và đặc biệt. Văn phong của tác giả được nhận xét là cuốn hút ngay từ những dòng mô tả giới thiệu đầu tiên.

Ý Nghĩa và Bài Học


Cuốn sách mang đến một thông điệp mạnh mẽ với nhiều bài học được rút ra từ tác giả, khuyến khích độc giả suy nghĩ về Xã Hội cũng như Nhân Sinh Quan. Đây là một bài học quan trọng để độc giả có thể học tập và phát triển bản thân.

Hình ảnh về sách Tuyển Tập 3 Chủ Đề Hay Và Khó Xác Suất Có Điều Kiện Một Số Yếu Tố Của Lý Thuyết Đồ Thị


Xem thêm đầy đủ hơn Tuyển Tập 3 Chủ Đề Hay Và Khó Xác Suất Có Điều Kiện Một Số Yếu Tố Của Lý Thuyết Đồ Thị tại: https://tusach.vn/tuyen-tap-3-chu-de-hay-va-kho-xac-suat-co-dieu-kien-mot-so-yeu-to-cua-ly-thuyet-do-thi

Hướng dẫn tải file PDF sách Tuyển Tập 3 Chủ Đề Hay Và Khó Xác Suất Có Điều Kiện Một Số Yếu Tố Của Lý Thuyết Đồ Thị


Bạn đang đọc Sách Sách Trong Nước, Giáo khoa - Tham khảo, Sách Tham Khảo, Tham Khảo Lớp 12 với tên sách là Tuyển Tập 3 Chủ Đề Hay Và Khó Xác Suất Có Điều Kiện Một Số Yếu Tố Của Lý Thuyết Đồ Thị được Tác giả Vũ Văn Thiện, Nguyễn Quang Hợp, Lương Văn Huy sáng tác và được nhà xuất bản Dân Trí xuất bản vào năm 2025.
Bạn có thể Tải sách Tuyển Tập 3 Chủ Đề Hay Và Khó Xác Suất Có Điều Kiện Một Số Yếu Tố Của Lý Thuyết Đồ Thị PDF tại đây:

đánh giá sáchTuyển Tập 3 Chủ Đề Hay Và Khó Xác Suất Có Điều Kiện Một Số Yếu Tố Của Lý Thuyết Đồ Thị

5/5
( đánh giá)
5 sao
100%
4 sao
0%
3 sao
0%
2 sao
0%
1 sao
0%

Tải PDF tài liệu học tập đang trở thành lựa chọn phổ biến cho sinh viên và người đi làm nhờ tính tiện lợi và tiết kiệm thời gian. Tài liệu PDF cung cấp nhiều nội dung từ sách PDF, tài liệu nghiên cứu, đến giáo trình chuyên ngành, giúp người dùng dễ dàng lưu trữ và truy cập trên các thiết bị số. Việc sử dụng tài liệu PDF không chỉ giúp tăng cường kiến thức mà còn hỗ trợ học tập và làm việc hiệu quả hơn.

YÊU CẦU TÀI LIỆU