1. Trang Chủ
  2. //
market leader 3rd edition pre-intermediate practice file cd pack
market leader 3rd edition pre-intermediate practice file cd pack
market leader 3rd edition pre-intermediate practice file cd pack
+ 9
market leader 3rd edition pre-intermediate practice file cd pack

Giới Thiệu Sách

Giới thiệu sách


market leader 3rd edition pre-intermediate practice file cd pack là một cuốn sách thuộc thể loại [tất cả Thể Loại] của tác giả nổi tiếng [Tác Giả]. Xuất bản năm [Năm Xuất Bản], cuốn sách đã nhanh chóng nhận được nhiều đánh giá tích cực nhờ nội dung sâu sắc và văn phong cuốn hút.

Thông Tin Chi Tiết
Tên Nhà Cung CấpPearson Education
Tác giảJohn RogersDavid CottonDavid FalveySimon Kent
NXBPearson
Năm XB2012
Ngôn NgữSách Nước Ngoài
Trọng lượng (gr)
Kích Thước Bao Bì29.4x21.1
Số trang96

Tóm tắt sách


Câu chuyện bắt đầu với hấp dẫn, dẫn dắt vấn đề một cách thú vị và thu hút. Từ đó, tác giả đưa người đọc qua một chuỗi sự kiện đầy Kịch Tính/Hài Hước/Trí Tuệ. Cuốn sách khám phá về chủ đề foreign books, Dictionaries & Languages, ELT: English For Specific Purposes, ELT: English For Business

Phân tích, đánh giá & Review sách


Tác giả John Rogers, David Cotton, David Falvey, Simon Kent đã thành công trong việc xây dựng một cốt truyện cực kỳ thu hút với kinh nghiệm của bản thân mình. Nhân vật cũng như cách diễn đạt nội dung là một điểm nhấn, với sự phát triển đầy chiều sâu và đặc biệt. Văn phong của tác giả được nhận xét là cuốn hút ngay từ những dòng mô tả giới thiệu đầu tiên.

Ý Nghĩa và Bài Học


Cuốn sách mang đến một thông điệp mạnh mẽ với nhiều bài học được rút ra từ tác giả, khuyến khích độc giả suy nghĩ về Xã Hội cũng như Nhân Sinh Quan. Đây là một bài học quan trọng để độc giả có thể học tập và phát triển bản thân.

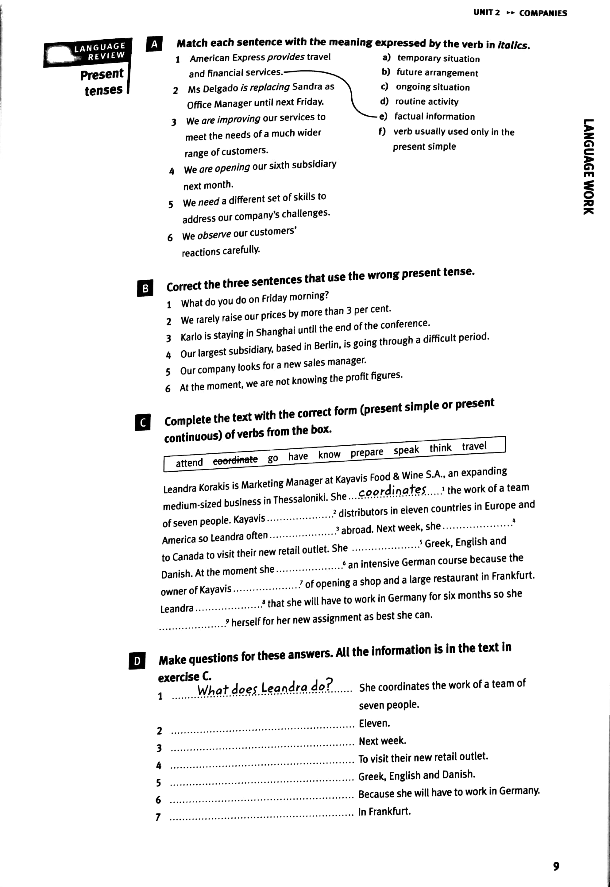
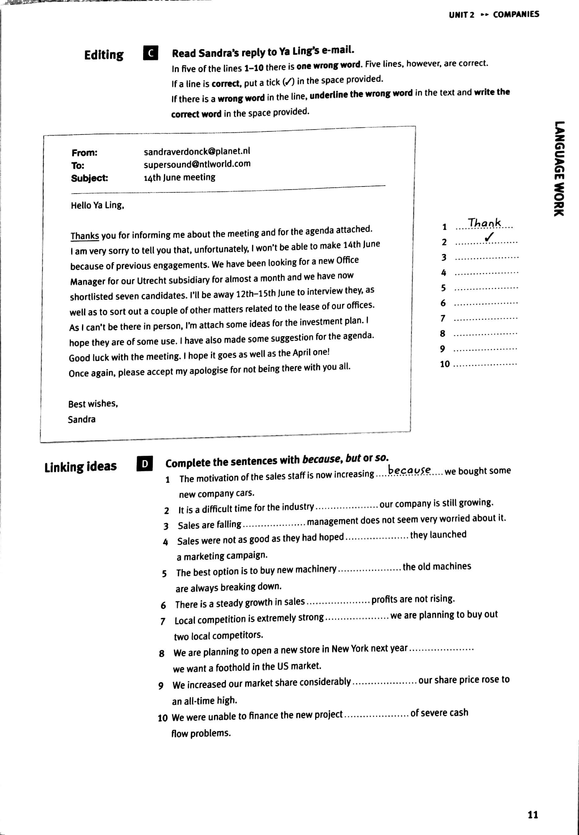
Hình ảnh về sách market leader 3rd edition pre-intermediate practice file cd pack


Xem thêm đầy đủ hơn market leader 3rd edition pre-intermediate practice file cd pack tại: https://tusach.vn/market-leader-3rd-edition-pre-intermediate-practice-file-cd-pack

Hướng dẫn tải file PDF sách market leader 3rd edition pre-intermediate practice file cd pack


Bạn đang đọc Sách foreign books, Dictionaries & Languages, ELT: English For Specific Purposes, ELT: English For Business với tên sách là market leader 3rd edition pre-intermediate practice file cd pack được Tác giả John Rogers, David Cotton, David Falvey, Simon Kent sáng tác và được nhà xuất bản Pearson xuất bản vào năm 2012.
Bạn có thể Tải sách market leader 3rd edition pre-intermediate practice file cd pack PDF tại đây:

đánh giá sáchmarket leader 3rd edition pre-intermediate practice file cd pack

5/5
( đánh giá)
5 sao
100%
4 sao
0%
3 sao
0%
2 sao
0%
1 sao
0%

Tải PDF tài liệu học tập đang trở thành lựa chọn phổ biến cho sinh viên và người đi làm nhờ tính tiện lợi và tiết kiệm thời gian. Tài liệu PDF cung cấp nhiều nội dung từ sách PDF, tài liệu nghiên cứu, đến giáo trình chuyên ngành, giúp người dùng dễ dàng lưu trữ và truy cập trên các thiết bị số. Việc sử dụng tài liệu PDF không chỉ giúp tăng cường kiến thức mà còn hỗ trợ học tập và làm việc hiệu quả hơn.

YÊU CẦU TÀI LIỆU