1. Trang Chủ
  2. //
giới thiệu đề thi lớp 9 vào lớp 10 môn toán chuyên
giới thiệu đề thi lớp 9 vào lớp 10 môn toán chuyên
giới thiệu đề thi lớp 9 vào lớp 10 môn toán chuyên
+ 6
giới thiệu đề thi lớp 9 vào lớp 10 môn toán chuyên
Nhà Xuất Bản:
Số Trang: 272
Năm Xuất Bản: 2024

Giới Thiệu Sách

Giới thiệu sách


giới thiệu đề thi lớp 9 vào lớp 10 môn toán chuyên là một cuốn sách thuộc thể loại [tất cả Thể Loại] của tác giả nổi tiếng [Tác Giả]. Xuất bản năm [Năm Xuất Bản], cuốn sách đã nhanh chóng nhận được nhiều đánh giá tích cực nhờ nội dung sâu sắc và văn phong cuốn hút.

Thông Tin Chi Tiết
Tên Nhà Cung CấpDn Tư Nhân Thương Mại Toàn Phúc
Tác giảTrần Tiến Tự
NXBĐồng Nai
Năm XB2024
Ngôn NgữTiếng Việt
Trọng lượng (gr)
Kích Thước Bao Bì24 x 16 x 1.3 cm
Số trang272

Tóm tắt sách


Câu chuyện bắt đầu với hấp dẫn, dẫn dắt vấn đề một cách thú vị và thu hút. Từ đó, tác giả đưa người đọc qua một chuỗi sự kiện đầy Kịch Tính/Hài Hước/Trí Tuệ. Cuốn sách khám phá về chủ đề Sách Trong Nước, Giáo khoa - Tham khảo, Sách Tham Khảo, Tham Khảo Lớp 9

Phân tích, đánh giá & Review sách


Tác giả Trần Tiến Tự đã thành công trong việc xây dựng một cốt truyện cực kỳ thu hút với kinh nghiệm của bản thân mình. Nhân vật cũng như cách diễn đạt nội dung là một điểm nhấn, với sự phát triển đầy chiều sâu và đặc biệt. Văn phong của tác giả được nhận xét là cuốn hút ngay từ những dòng mô tả giới thiệu đầu tiên.

Ý Nghĩa và Bài Học


Cuốn sách mang đến một thông điệp mạnh mẽ với nhiều bài học được rút ra từ tác giả, khuyến khích độc giả suy nghĩ về Xã Hội cũng như Nhân Sinh Quan. Đây là một bài học quan trọng để độc giả có thể học tập và phát triển bản thân.

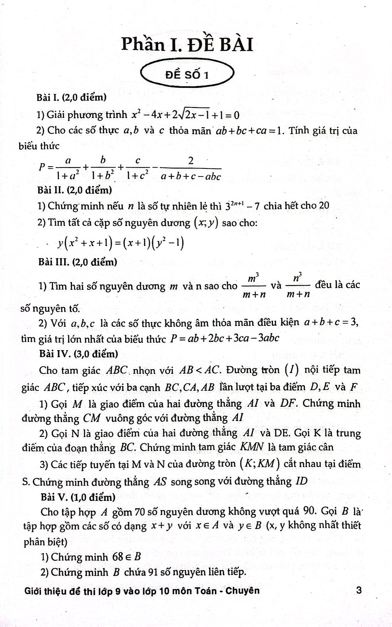
Hình ảnh về sách giới thiệu đề thi lớp 9 vào lớp 10 môn toán chuyên


Xem thêm đầy đủ hơn giới thiệu đề thi lớp 9 vào lớp 10 môn toán chuyên tại: https://tusach.vn/gioi-thieu-de-thi-lop-9-vao-lop-10-mon-toan-chuyen

Hướng dẫn tải file PDF sách giới thiệu đề thi lớp 9 vào lớp 10 môn toán chuyên


Bạn đang đọc Sách Sách Trong Nước, Giáo khoa - Tham khảo, Sách Tham Khảo, Tham Khảo Lớp 9 với tên sách là giới thiệu đề thi lớp 9 vào lớp 10 môn toán chuyên được Tác giả Trần Tiến Tự sáng tác và được nhà xuất bản Đồng Nai xuất bản vào năm 2024.
Bạn có thể Tải sách giới thiệu đề thi lớp 9 vào lớp 10 môn toán chuyên PDF tại đây:

đánh giá sáchgiới thiệu đề thi lớp 9 vào lớp 10 môn toán chuyên

5/5
( đánh giá)
5 sao
100%
4 sao
0%
3 sao
0%
2 sao
0%
1 sao
0%

Tải PDF tài liệu học tập đang trở thành lựa chọn phổ biến cho sinh viên và người đi làm nhờ tính tiện lợi và tiết kiệm thời gian. Tài liệu PDF cung cấp nhiều nội dung từ sách PDF, tài liệu nghiên cứu, đến giáo trình chuyên ngành, giúp người dùng dễ dàng lưu trữ và truy cập trên các thiết bị số. Việc sử dụng tài liệu PDF không chỉ giúp tăng cường kiến thức mà còn hỗ trợ học tập và làm việc hiệu quả hơn.

YÊU CẦU TÀI LIỆU